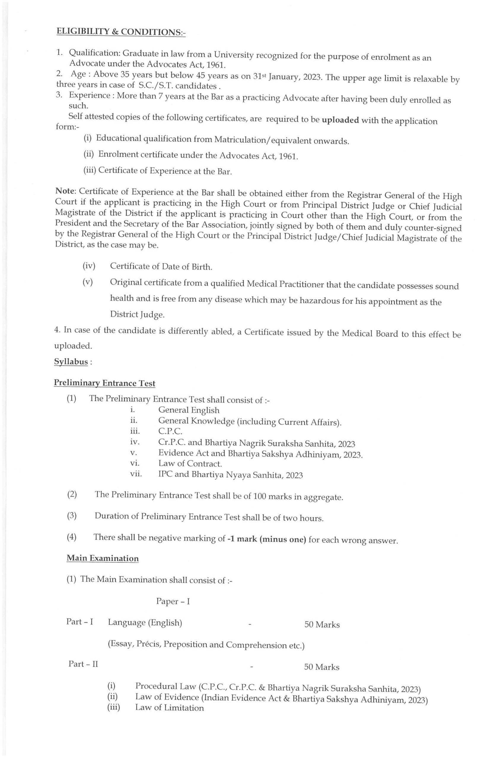
Jharkhand HC District Judge Admit Card 2025
Post Date:
Jharkhand High Court (JHC), has released the Admit Card on its official website for the High Court District Judge Examination 2025. The exam will be conducted on 27th April 2025, and the last date to submit the application form was 30th November 2024. Candidates can check their Admit Card using their Enrollment Number, Registration Number, or Date of Birth by logging into the portal. The direct link is provided below.
Jharkhand HC District Judge Admit Card 2025 – Out
Jharkhand High Court District Judge Examination 2024 : Short Details
Important Dates
- Application Start : 15 November 2024
- Last Date for Apply Online : 30 November 2024
- Last Date Pay Exam Fee : 30 November 2024
- Exam Date : 27 April 2025
- Admit Card : 15 April 2025
- Result Declared Date : Will Be Updated Here Soon.
Application Fee
- For General, Other Category : ₹ 1000/-
- For SC, ST : ₹ 500/-
- Payment Mode (Online): You can make the payment using the following methods:
- Debit Card
- Credit Card
- Internet Banking
- IMPS
- Cash Card / Mobile Wallet
Jharkhand High Court District Judge Notification 2024 : Age Limits As On 31 January 2023
- Minimum Age : 35 Year
- Maximum Age : 45 Year
- JHC provides age relaxation for the High Court District Judge position as per their regulations.
Total Post
Jharkhand High Court District Judge Recruitment 2024 Vacancy Details
| Post Details | |
| District Judge | 15 |
| Jharkhand High Court District Judge Recruitment 2024 Education Qualification |
|
|
| How To Check & Download Jharkhand HC District Judge Admit Card 2025 |
|
| Jharkhand High Court District Judge Recruitment 2024 Mode Of Selection |
|
| Join Our WhatsApp Channel | Follow Now |
| Join Our Telegram Channel | Follow Now |
SOME USEFUL IMPORTANT LINKS
Download Admit Card | Click Here |
Apply Online | Click Here |
Official Notification | Click Here |
Download Exam Syllabus | Click Here |
Official Website | Click Here |
| Jharkhand High Court District Judge Recruitment 2024 : Important Question |
|
|
|
|
|
Jharkhand High Court District Judge Exam Syllabus 2024


Sarkari Result.Com.Cm
Disclaimer: Information regarding any exam form , results/marks, answer key are published on this website are provided just for the immediate information of the examinees and should not be considered as a legal document. While every effort has been made by sarkariresult team to ensure the accuracy of the information provided which includes official links, we are not responsible for any inadvertent errors that may appear in the examination results/marks, answer key or time table/admission dates. Additionally, we disclaim any liability for any loss or damage caused by any shortcomings, defects, or inaccuracies in the information available on this website. In case of any correction is needed feel free to contact us through contact us page.